Other Documents
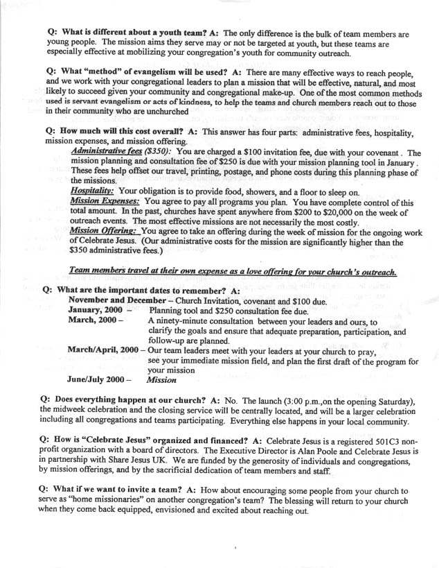
This page is just a place that I have tucked away copies of some documents relating to this Celebrate Jesus mission. They consist of an application form, letters that accompanied my team assignment, documents from the Welcome Package given at the Commissioning Service, the Sunday Worship Bulletin and inserts, the devotional guide/journal and a few other items. While it isn't likely that I will throw away the original items, it is quite likely that I will misplace them...in which case the images here will provide a readily available substitute for the originals, at least as an aide to memory.What IS Celebrate Jesus? - This was the question that was still not fully answered for our three from Bethel, even as we were driving down to Leesburg. We had heard some things about it at the special conference in the fall of 2000 and at a district training session in Tallahassee. These documents tried to answer some questions. Looking at them now, they probably do that fairly well...but the only way of really knowing is by going.
![]()
![]()
![]()
![]()
![]()
![]()
![]()
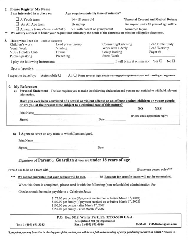
Application - This is an application for the Celebrate Jesus 2002 Lakeland Mission. Leonard brought back several to give to persons at Bethel he thought would be interested. It's in the same format as the one we submitted to apply for the Leesburg Mission.
![]()
Team Assignment Letter - This provided the first real indication of what we were expected to bring for the week.
![]()
![]()
![]()
![]()
![]()
![]()
Welcome Letter - These documents were in the packet of materials handed out upon arrival at Community UMC in Fruitland Park.
![]()
![]()
![]()
![]()
![]()
![]()
Sunday Bulletin - These are the worship bulletin and inserts for the Sunday service at Wildwood UMC. Steve Gregg gave the sermon.
![]()
![]()
![]()
![]()
![]()
![]()
![]()
Devotional Guide/Journal - This booklet was in the packet of materials handed out prior to the Commissioning Service at Community UMC in Fruitland Park. It was used during each morning's team meeting with a different team member leading the devotional study each day.
![]()
![]()
![]()
![]()
![]()
![]()
![]()
![]()
![]()
![]()
![]()
A Celebrate Jesus Thank You - During the bus trip back to Wildwood after the Wednesday evening Celebration service, Ruth Budrick and Jackie Turk gave each of the team members an envelope with some gifts representing "A Celebrate Jesus Thank You". These images provide a record of the envelope's contents and a reminder of the spirit and dedication of the host church members that preceded this week's activities.
![]()
![]()
![]()
![]()
![]()
![]()
Glory Stories - This little newsletter was distributed each day by "Pigeon Mail". It contained short stories and notes about happenings with the different teams in the Leesburg Mission. The stories were sent in each day by "pigeon mail".
![]()
![]()
![]()
![]()
![]()
![]()
![]()
![]()
Newspaper Articles - Most of these articles appeared in the Wildwood newspapers during the week. The first two reported on the visit of the white Siberian tiger to the VBS Thursday morning. Team leader BJ Foster appeared in two of the photos and team members Bobby & Tori Foster were in the picture accompanying the second article. The third article was taken from the UMC Review for July 20 and describes some events of the Leesburg Mission. The last article was not directly related to the mission, but soberingly made us realize once more the types of tragedies that continue to occur, even as we were intent on bringing people together for a celebration. The man injured in the accident was the father (and the man killed, the uncle) of a 3 year old girl who attended the Wildwood VBS during the mornings. A member of the host church, who helped with the VBS and with the "Celebrate Jesus" activites, also had the task of caring for the child and of bringing a comforting presence to the parents at this most trying time.
![]()
![]()
![]()
![]()